一、中文题目:错误数据注入攻击下基于固定时间收敛强化学习的多智能体系统安全编队控制
二、英文题目:Secure Formation Control of Multi-Agent System against FDI Attack Using Fixed-Time Convergent Reinforcement Learning
三、作者信息:弓镇宇,杨飞生*,袁源,马倩,Wei Xing ZHENG
四、发表刊物:IEEE Transactions on Control of Network Systems
五、索引信息://doi.org/10.1109/TCNS.2025.3538761
六、论文简介:
在多智能体系统的编队任务中,恶意攻击者可在控制信号中施加虚假数据注入(FDI)攻击使得系统性能恶化,需设计安全编队控制策略以缓和攻击的影响。本论文在安全零和图博弈框架下分析了安全编队控制器与FDI攻击者之间的攻防关系,攻击者与安全编队控制器的目标分别为最大化与最小化系统性能指标函数,安全博弈可由此转化为极大-极小优化问题。解决该优化问题依赖于求解Hamilton-Jacobi-Isaacs(HJI)方程,然而HJI方程是耦合偏微分方程,难以直接获得其解析解。为此,基于经验回放机制与Critic-only神经网络架构,论文提出了一种固定时间强化学习算法,设计了具备固定时间收敛特性的权重更新律,以快速在线逼近最优分布式安全控制策略与最优攻击策略。本工作是校内外和国内外合作完成的。

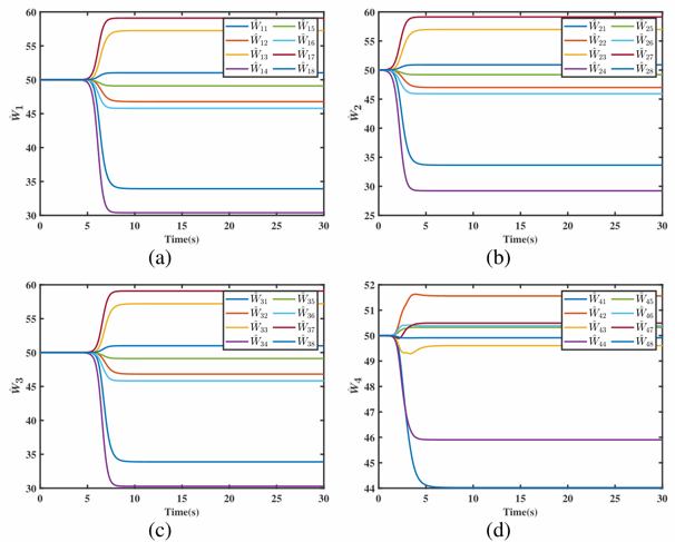
图. 智能体位置状态曲线(左)与神经网络权重曲线(右)
七、资助信息:本工作得到了国家自然科学基金、航空科学基金、广东省基础与应用基础研究基金、重庆市自然科学基金等项目的支持。
来源:杨飞生
审核:王小旭